To Dam or Not to Dam: A study of indicator species’ sensitivity based on dam position in Big Chico Creek.

By Joanna Crum and Sonja Mulhair

jmcrum@csuchico.edu and sgmulhair@csuchico.edu 

In 2025, the Chico community experienced an E. coli outbreak in its high recreation and most beloved swimming spots throughout Big Chico Creek. Studies have demonstrated correlations between algal growth and mutualistic bacteria colonies that exchange nutrients and utilize algae as a microhabitat. Furthermore, diatoms are an important indicator species that serve as autotrophic producers and provide base level nutrients for the rest of the ecosystem. These species have coevolved with bacterial communities for millions of years and act as a major food source for them. Diatoms and algae come in many different shapes and sizes which have different levels of sensitivity to stream health and water conditions. There is a positive correlation between sunlight and warmer, slower, aquatic habitats and diatom growth. Therefore, we expect to find a greater abundance of diatoms below the dam, and pose the question: is it beneficial for both the public and the biological community to dam Chico’s waterways considering how dams affect stream health as indicated by algal and diatom abundance? 

To test this, we set up a series of sampling locations above and below the One Mile Dam along Big Chico Creek. At these locations, we tested for water quality and stream health controls including: dissolved oxygen (DO), canopy cover, temperature, stream depth, stream width, pH, nitrate, nitrite, and ammonia levels. Additionally, we tested for experimental variables such as presence of algae on randomly selected rocks and diatom density based on rock volume. At each site, we took three rock samples and performed rock scrapings to collect diatoms and algae off of the rocks. These samples were counted and categorized for diatom shape and abundance, the diatoms fell into the four categories: Raphid (football, elongated, ovular shaped), Oid (rectangular, square shaped), Centric (circular), and Petal (branching). 


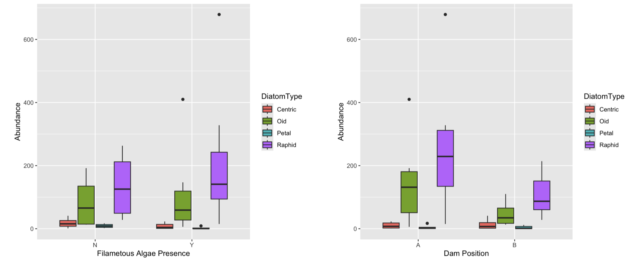
Through analysis of our counted diatom categories, we found different sensitivities among separate diatom groupings based on factors above and below the dam. Abundance of each diatom group was correlated with different stream factors, demonstrating a difference in species sensitivities. However, all shapes were correlated with the presence of filamentous algae within the sample sites. Shapes such as Raphid and Oid exhibited a more resilient range along the Creek and were most abundant above the dam, contrary to our prediction. These preliminary results suggest that diatoms heavily rely on filamentous algae. 

The shape of the diatoms found in Big Chico Creek is essential information about the conditions in the creek based on what factors each type demonstrates sensitivity to. Likewise, their relative abundance tells us how well different colonies are either thriving or struggling to establish community. Discrepancies in our results may be attributed to the categories and overall abundances of the diatoms. Rapids constituted a disproportionately large group that was more inclusive of various different shapes. Oppositely, the Petal group only consisted of one specific shape that was sparse across all of the sites. Despite their microscopic size, these primary producers serve an essential role by synthesizing nutrients that move upwards through the food web of the ecosystem. They help us gather insight into the quality of life occurring within the stream for the overall safety of the creek inhabitants and the overarching Chico community.